Atomic Astute Alliance
Home / Esomeprazole Magnesium

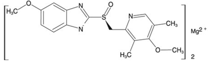
Esomeprazole Magnesium

Esomeprazole, sold under the brand name Nexium, is a proton pump inhibitor (PPI) medication used for the management of gastroesophageal reflux disease (GERD), for gastric protection to prevent recurrence of stomach ulcers or gastric damage from chronic use of NSAIDs, and for the treatment of pathological hypersecretory conditions including Zollinger-Ellison (ZE) Syndrome.

CAS No. 161973-10-0
Molecular Weight (g/mol) 767.1700
Molecular Formula (C17​H18​N3​O3​S)2​Mg⋅3H2​O