Atomic Astute Alliance
Home / Pyridoxine Hydrochloride

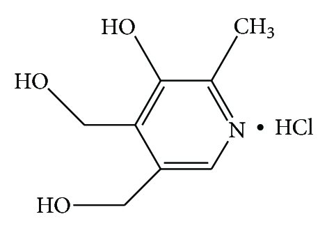
Pyridoxine Hydrochloride

Pyridoxine is the 4-methanol form of vitamin B6, an important water-soluble vitamin that is naturally present in many foods. As its classification as a vitamin implies, Vitamin B6 (and pyridoxine) are essential nutrients required for normal functioning of many biological systems within the body. While many plants and microorganisms are able to synthesize pyridoxine through endogenous biological processes, animals must obtain it through their diet.

CAS No. 58-56-0
Molecular Weight (g/mol) 189.6400
Molecular Formula C₈H₁₂ClNO₃