Atomic Astute Alliance
Home
About Us
Products
Services
Contact Us
Home
/
Ganaxolone
Raw Materials
Intermediates
Impurities
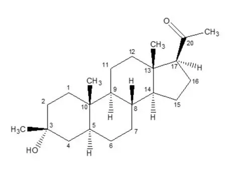
Ganaxolone
A steroid medication used to treat seizures caused by a rare genetic disorder.
Specifications
CAS No.
38398-32-2
Molecular Weight (g/mol)
332.5280
Molecular Formula
C₂₂H₃₆O₂